Тесты 11 Класс По Теме Степени И Корни Мордкович

-reshenie-13.13.jpg)
Муниципальное общеобразовательное учреждение Орудьевская средняя общеобразовательная школа УТВЕРЖДАЮ Директор МОУ Орудьевской школы /Ю.Д. Трусова/ подпись расшифровка подписи Приказ № от «» 2016 г. Дата МП Рабочая программа по математике (профильный уровень) 11 класс 136 часов, 4 часа в неделю Составитель: Чернышова Ирина Сергеевна, учитель математики высшей категории 2016 год II.
Тесты 11 Класс По Теме Степени И Корни Мордковича
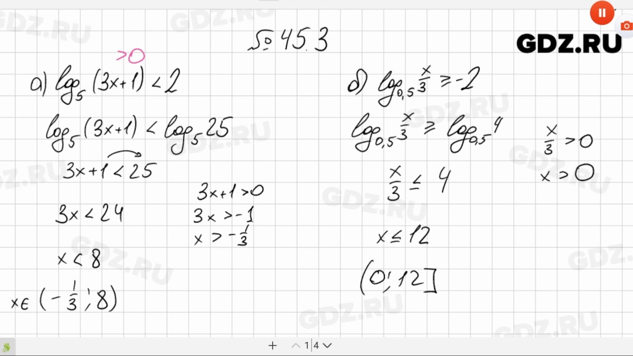
Алгебра, 11 класс. Корни n-й степени из действительного числа. Тесты доступны по абонементу. Подробнее об абонементе, платных и бесплатных уроках. У вас уже есть абонемент? КИМы к учебникам Колмогорова и Мордковича. 3-е изд., перераб. - М.: 2016 - 96. В пособии представлены контрольно-измерительные материалы (КИМы) по алгебре и началам анализа для 11 класса: тесты в формате заданий ЕГЭ, а также самостоятельные и контрольные работы по всем изучаемым темам.. Преобразование выражений 10 Тест 4. Обобщение понятия о показателе степени 12 Тест 5. Степенные функции, их свойства и графики 14 Тест 6. Иррациональные уравнения и неравенства 16 Тест 7. Итоговый по теме «Степени и корни. Степенные функции» 18 Тест 8. Показательная функция, ее свойства и график 22 Тест 9. Показательные уравнения и неравенства 24 Тест 10. Понятие логарифма. ГДЗ решебник по алгебре 7 класс тесты. «Уравнение и его корни. «Определение степени. Контрольная работа по алгебре 'Степени и корни' (11 класс). Скачать материал. Контрольная работа №1 по алгебре 11 класс. Вычислите: 5∙ ∙ -6∙.. Контрольная работа по алгебре 11 класс составлена в соотствии с учебной программой к учебнику для учащихся общеобразовательных учреждений под редакцией А.Г. Мордковича (базового уровня). Данная работа проводится после изучения следующих тем: 'Понятие корня n-степени из действительного числа и его свойства, функции корня n-степени из действительного числа, преобразований выражений, содержащих радикалы.'